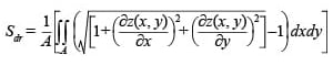
Sdr 界面の展開面積比
定義領域の展開面積(表面積)が、定義領域の面積に対してどれだけ増大しているかを表します。
完全に平坦な面のSdrは0となります。

表面に傾斜があるとSdrは大きくなります。
下の表面は45°の傾斜成分からなる平面ですが、Sdrは0.414になります。(40%強、表面積が増えています。)


定義領域の展開面積(表面積)が、定義領域の面積に対してどれだけ増大しているかを表します。
完全に平坦な面のSdrは0となります。

表面に傾斜があるとSdrは大きくなります。
下の表面は45°の傾斜成分からなる平面ですが、Sdrは0.414になります。(40%強、表面積が増えています。)

