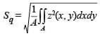
Sq 二乗平均平方根高さ

平均面からの距離の標準偏差に相当するパラメータです。高さの標準偏差に相当します。

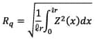
  • Rq 二乗平均平方根高さ
  • Sq 二乗平均平方根高さ
図Rq(線の二乗平均平方根高さ)の例です。SqはRqを面に拡張したものです。
図Rq(線の二乗平均平方根高さ)の例です。SqはRqを面に拡張したものです。

粗さ入門.com トップへ戻る