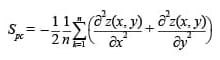
表面の山頂点の主曲率の平均を表します。小さいと、ほかの物体と接触する点が丸みを帯びていることを示します。大きいと、ほかの物体と接触する点が尖っていることを示します。
粗さ入門.com トップへ戻る
AI-Scanにより、どんな対象物でも正確に粗さ・形状測定が可能です。AI-Analyzerにより、微妙な表面の違いを自動で解析できます。