静電容量式レベル計
レベルセンサを大別すると可動部が有るものと無いものに分かれますが、静電容量式レベルセンサは可動部がないレベルセンサの典型的なものであり、古くから普及しているものの一つです。一対の電極間、または一本の電極と金属タンク間の静電容量を検出してレベルを求める方式であって、非導電性や導電性の液体を問わず粉粒体にも使用することができます。
ここでは静電容量式レベル計の原理や構造などを紹介します。
静電容量式レベル計の検出部は互いに絶縁された検出電極と接地電極から構成され、また、接地電極は金属タンク壁に電気的に導通されます。この検出電極と接地電極へ電気的に導通した金属タンク壁間に生じる静電容量変化から、測定物のレベルを連続検出するセンサです。
原理




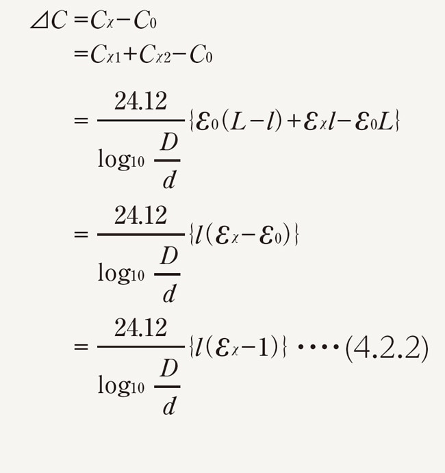
空気の比誘電率をε0、タンクの直径をD、高さをL、検出電極の直径をdとすると、空の状態の静電容量C0は式(4.2.1)で表されます。そこに、比誘電率εχの液体を高さlまで満たした場合のタンク全体の静電容量をCΧとすると、その変化⊿Cは式(4.2.2)で表され、液体の比誘電率が一定とすると、高さlに比例して、静電容量が変化します。この静電容量の変化を発振回路の一部として発振周波数の変化として取り出します。
構造

- 検出回路は検出電極と金属タンク壁との静電容量を回路の一部に組み込んだ発振回路を構成しています。液体の高さによって発振周波数の変化を検出します。
- 検出電極から得られる電気信号は静電容量だけでなく、実際には検出電極と金属タンク間の抵抗成分も含まれます。抵抗成分の変化は発振回路に影響を与えるため、検出回路では周波数を高くして、抵抗成分より容量成分に流れる電流比を大きくして抵抗成分の影響を小さくしていますが、さらにできるだけ抵抗成分の影響をなくすために検出電極を被覆したタイプが多く使用されています。
- 出力信号には4~20mAの電流出力信号を使用するのが一般的な仕様で、リニアライズや2点校正等の信号処理が可能なものもあります。
選定方法
測定条件
測定する液体に比誘電率の変化がないことが必要最低条件となります。例えば、水の比誘電率は0°Cで88、20°Cで80、100°Cで48と温度によって変化します。液の供給排水や攪拌などで、液体に泡をかむ場合などは、比誘電率がもっとも低いε=1の空気が混入するため、見かけ上の比誘電率が大きく低下するので注意が必要です。また、液体に油やゴミ・汚れ・切り粉等が混入した場合も比誘電率が変化しますので、十分注意が必要です。
検出精度
検出電極の両端はリニアリティが低下します。測定レンジが長い場合は、問題になりませんが、測定レンジが短い場合は注意が必要です。検出精度はプローブ長の1%程度ぐらいです。
注意点
設置環境
タンク材質が非金属の場合、タンク壁に手を触れたりタンク壁に水をかけたりすると精度が大きく低下します。タンク壁に手を触れた場合は測定物に、タンク壁にかけた水は金属壁と同様の状態となるためです。よって樹脂タンクの場合は使用をお勧めしません。
タンク内を攪拌するプロペラなどが検出電極と近接する場合、お互いの距離関係が変わると、測定物のレベルに関係なく静電容量が変化するため安定した検出ができません。設置場所を変える、あるいは金属製のガイドパイプを取り付けるなど対策が必要です。
比誘電率の小さい液体
油などの比誘電率が小さい液体を検出する場合、発振周波数の変化を大きくとることができないため精度が低下します。
まとめ
このページでは、静電容量式レベル計の原理や構造、選定方法・注意点について説明しました。
それらをまとめると、以下の通りです。
- 液体の高さに比例して変化する静電容量から発振周波数を取り出し、レベルを検出する。
- 液体の導電性を問わず検出することが可能。
- 気泡の発生や異物の混入などで、液体の比誘電率が変化すると、正確な検出ができない。また、液体の比誘電率が小さい場合は精度が低下する。
検出する液体によって、レベル検査の方法もさまざまです。最適なレベル検査を行うには、それらの特徴を知り、正しく検査することが大切です。 このページで紹介した内容や他のページに記載しているレベルセンサの知識や事例について、1冊にまとめた資料「レベルセンサ ハンドブック」は、下記からダウンロードできます。






