ねじの強度
ねじは、破断したり外れたりすると大きな事故に繋がります。規格のねじの場合、締め付けトルクや強度は決められています。安全な機械を設計するには、十分な強度のねじを選択し、製造時は決められたトルクで締め付ける必要があります。
締め付けトルク
「締め付けトルク」とは、ねじを回して締め付けたときに発生する「締め付け力(軸力)」のことです。
締め付けトルクは、スパナを押す力にボルトの回転中心から力をかける点までの距離をかけた数値になります。

- T:締め付けトルク(N・m)
- k:トルク係数*
- d:ねじの外径(m)
- F:軸力(N)
- トルク係数(k)
- ねじ部の摩擦係数と座面の摩擦係数から決まる値です。材質や表面粗さ、めっき・油の有無などによって異なります。一般には、約0.15~0.25です。
締め付けトルクには「T系列」という規格があります。締め付けトルクは小さいと緩みやすく、大きいとねじの破損につながるため、規格に応じた値で、正確に管理する必要があります。

- T:締め付けトルク
- L:ボルト中心点から力点までの距離
- F:スパナにかかる力
- a:軸力
- b:部品1
- c:部品2
| 一般 | 電気/電子部品 | 車体・内燃機関 | 建築/建設 | |
|---|---|---|---|---|
| ねじの呼び径 | T系列[N・m] | 0.5系列[N・m] | 1.8系列[N・m] | 2.4系列[N・m] |
| M1 | 0.0195 | 0.0098 | 0.035 | 0.047 |
| (M1.1) | 0.027 | 0.0135 | 0.049 | 0.065 |
| M1.2 | 0.037 | 0.0185 | 0.066 | 0.088 |
| (M1.4) | 0.058 | 0.029 | 0.104 | 0.14 |
| M1.6 | 0.086 | 0.043 | 0.156 | 0.206 |
| (M1.8) | 0.128 | 0.064 | 0.23 | 0.305 |
| M2 | 0.176 | 0.088 | 0.315 | 0.42 |
| (M2.2) | 0.23 | 0.116 | 0.41 | 0.55 |
| M2.5 | 0.36 | 0.18 | 0.65 | 0.86 |
| M3 | 0.63 | 0.315 | 1.14 | 1.5 |
| (M3.5) | 1 | 0.5 | 1.8 | 2.4 |
| M4 | 1.5 | 0.75 | 2.7 | 3.6 |
| (M4.5) | 2.15 | 1.08 | 3.9 | 5.2 |
| M5 | 3 | 1.5 | 5.4 | 7.2 |
| M6 | 5.2 | 2.6 | 9.2 | 12.2 |
| (M7) | 8.4 | 4.2 | 15 | 20 |
| M8 | 12.5 | 6.2 | 22 | 29.5 |
| M10 | 24.5 | 12.2 | 44 | 59 |
| M12 | 42 | 21 | 76 | 100 |
| (M14) | 68 | 34 | 120 | 166 |
| M16 | 106 | 53 | 190 | 255 |
| (M18) | 146 | 73 | 270 | 350 |
| M20 | 204 | 102 | 370 | 490 |
| (M22) | 282 | 140 | 500 | 670 |
| M24 | 360 | 180 | 650 | 860 |
| (M27) | 520 | 260 | 940 | 1240 |
| M30 | 700 | 350 | 1260 | 1700 |
| (M33) | 960 | 480 | 1750 | 2300 |
| M36 | 1240 | 620 | 2250 | 3000 |
| (M39) | 1600 | 800 | 2900 | 3800 |
| M42 | 2000 | 1000 | 3600 | 4800 |
| (M45) | 2500 | 1260 | 4500 | 6000 |
| M48 | 2950 | 1500 | 5300 | 7000 |
| (M52) | 3800 | 1900 | 6800 | 9200 |
| M56 | 4800 | 2400 | 8600 | 11600 |
| (M60) | 5900 | 2950 | 10600 | 14000 |
| M64 | 7200 | 3600 | 13000 | 17500 |
| (M68) | 8800 | 4400 | 16000 | 21000 |
ねじの引張強さ
炭素鋼や合金鋼のねじについて、JISは強度区分で規定しています。強度区分は引張強度や降伏点、耐力を表します。おねじに引張力がかかったときに、ねじが破損しないための断面積(A)は、ねじの種類(三角ねじ・台形ねじ・角ねじなど)により異なります。
台形ねじ・角ねじの場合
おねじに軸方向の引張荷重がかかったときに、ねじが破断しないための断面積は、以下の式で求めることができます。角ねじや台形ねじの場合、谷の断面積が必要な断面積になります。

- A:ねじの断面積( mm2 )
- F:引張荷重(N)
- σa:許容引張応力(Mpa)
- S:安全率
- σmax:引張強さ( N/m 2 )
三角ねじの場合
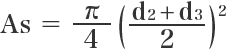
三角ねじでは有効断面積(As)が必要な断面積になります。


- π:3.14
- d3:d1−H/6
- d2:有効径(mm)
- d1:谷径(mm)
- H:山の高さ(mm)
安全率と許容応力
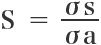
「安全率」は、安全を保障するための値で「安全係数」ともいわれます。製品に作用する荷重や強さを正確に予測することは困難であるため、設定される値です。たとえば、静荷重の場合は破壊応力や降伏応力・弾性限度などを基準値とし、算出します。材料強度の安全率を求める式は、以下の通りです。

- 安全率:S
- 基準応力*:σs(MPa)
- 許容応力*:σa(MPa)
例:基準応力150MPa、許容応力75MPaの場合
S=150÷75=2
安全率は「2」
「許容応力」は、素材が耐えられる引張応力のことで、以下の式で求めることができます。

- 許容応力*:σa(MPa)
- 基準応力*:σs(MPa)
- 安全率:S
- 基準応力・許容応力・使用応力について
- 「基準応力」は許容応力を決める基準になる応力のことです。基本的には、材料が破損する強度なので、材料や使用方法によって決まります。また、「許容応力」は材料の安全を保証できる最大限の使用応力のことです。そして、「使用応力」は、材料に発生する応力のことです。
3つの応力には「使用応力<許容応力<基準応力」という関係があり、使用応力が基準応力を超えないように注意しなければなりません。



