IO-Link
ここではIO-Linkについて説明します。
IO-Linkの概要
IO-Linkとは
IO-Linkとは、センサやアクチュエータを省配線で接続し、PLCやHMI(タッチパネルディスプレイ)などと通信できるようにするI/O接続技術です。IO-Link対応のセンサやアクチュエータなどのデバイスを「IO-Linkマスタ」にそれぞれケーブル1本で接続し、PLCにまとめて通信できるため、データの受信やデバイスの設定を簡単に行えます。
IO-Linkは2006年に誕生し、2010年にPROFINETなどの普及団体であるPI(PROFIBUS & PROFINET International)がIO-Link専門の委員会組織「IO-Linkコンソーシアム」を設立したことで、2013年には国際規格IEC61131-9で標準化されました。以降、欧州やアジアの先進的な工場をはじめ、世界中で導入が加速しました。現在では飛躍的な配線工数の削減や運用効率の向上を目的に、日本国内でも導入が急増しています。
PLCなど
産業用ネットワーク
IO-Linkマスタ
IO-Link対応デバイス
IO-Linkマスタとは

IO-Linkマスタとは、IO-Link対応のセンサやアクチュエータなどのデバイスを複数台接続できる装置のことです。IO-Link対応デバイスとの接続には、3線または5線を基本とするケーブル(非シールド)が使用され、ケーブルは最長20mまで延長が可能です。
IO-Linkマスタの筐体には、M12丸型コネクタのポート(差し込み口)が複数配置されているのが一般的です。各デバイスごとに1本のケーブルを挿すだけで接続でき、IO-Linkマスタとデバイス間で高速なデータ通信が可能になります。
また、デバイスのパラメータ設定を自動保存できるので、デバイスの故障などのトラブル時も故障したデバイスを付け換えるだけで瞬時に復旧することができます。
IO-Linkマスタは、EtherNet/IP®・Modbus/TCP・PROFINET・CC-Link V2などの代表的な産業用ネットワークに対応し、PLCやHMI(タッチパネルディスプレイ)に簡単に接続できます。
IODDファイルについて
IO-Link対応センサやアクチュエータなどのベンダーは、パラメータなどの情報が含まれた「IODD (IO Device Description)ファイル」を用意しています。このIODDファイルには、デバイスのメーカーやモデル、各種パラメータなどの情報が含まれているので、IO-Linkマスタにデバイスを接続するだけで自動的にデバイス情報やパラメータに読み込むことができます。また、IODDファイルから取得したパラメータを利用することにより、接続されているデバイスの設定を簡単に書き込むことができます。
IO-Linkのインターフェースと通信データ
IO-Linkの配線方法
デバイスとIO-Linkマスタの接続は、3芯または5芯ケーブル(非シールド)1本を挿してつなぐだけで電源供給と信号送受信を同時に行うことができます。
IO-Link用のコネクタとしてM5、M8、M12と呼ばれるものが規定されていますが、IO-Linkマスタでは丸型のM12コネクタが採用されているのが一般的です。
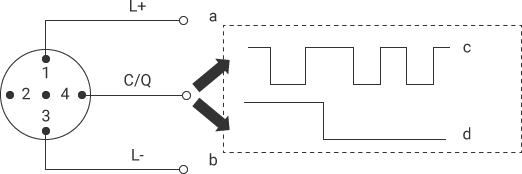
- a
- DC24V(最大200mA)
- b
- グランド
- c
- IO-Linkモード
- d
- 標準I/Oモード
動作モードと通信データの種類
IO-Link用コネクタの信号線(C/Q)は、「IO-Linkモード」と、標準のデジタル入出力信号として取り扱う「I/Oモード」の2種類の動作モードを持ち、接続するデバイスによってこれらのモードを使い分けることができます。
IO-Linkモードでは、マスタ/デバイス間で下記のようなデータ通信が可能です。双方向通信により、兆候監視や予知保全、トラブル発生時には迅速な対応が可能になります。
プロセスデータ(周期的)
特別なプログラムなしで周期的に通信されるデータです。プロセスデータの内容はIO-Linkデバイスにより決められており、デバイスによって異なりますがセンサの現在値や出力信号、エラー状態などが含まれます。
デバイスデータ(非周期的)
IO-Linkマスタから任意のタイミングで通信されるデータです。パラメータ値の読み書きやIO-Linkデバイスの状態を読み出すことができます。
イベントデータ(非周期的)
デバイスが感知した短絡や断線、汚染、温度異常などのエラーメッセージやメンテナンス情報といったデータをマスタが受信し、PLCなどの上位装置に伝送します。
ポートタイプについて
IO-Linkで用いられるM12コネクタには、「Class A」と「Class B」の2つのタイプあり、それぞれコネクタピンの役割(ピンアサイン)が異なります。そのため、デバイスに合ったコネクタを使用して接続します。
Class A(Port Class A)
IO-Link通信またはデジタル入力
デジタル入力またはデジタル出力
「Class A」と呼ばれる規格では、信号線(C/Q)に加えてL+、L-の3線でIO-Link対応デバイスに24V電源供給が可能です。L+から供給される電源容量は最小200mAであるため、消費電流量が少ないセンサ類などのデバイスであれば、ケーブル1本でデータ通信と電源供給の両方に対応することができます。
Class B(Port Class B)
IO-Link通信またはデジタル入力
追加用+24V
追加用 OV
大容量の電源を必要とするアクチュエータやソレノイドバルブなどのデバイスに電源供給する際、Class Aでは電流量が不足することがあります。その場合、「Class B」と呼ばれる5線の規格を使用することで、ケーブル本数を増やすことなく、UA+、UA-を利用して最大4Aの電流量を追加供給することができます。
IO-Link導入のメリット
従来の中継ボックス内の端子台での配線作業では、多くの時間と手間を要し、誤配線のリスクもありました。IO-LinKなら、センサやアクチュエータなどのデバイス1つにつき1本のケーブルでマスタと繋ぐだけで、電源供給とデータ伝送の両方が可能です。IO-Linkでの配線・接続・通信では、下記のようなメリットがあります。
- ケーブル1本・工具不要でデバイスの接続が完了するため、配線作業の工数や接続ミスのリスクを劇的に削減することができます。また、トラブル箇所の特定も容易になります。
- デバイスのIODDファイルを利用して、接続したデバイスの情報やパラメータを取得し、すぐに設定可能です。また、運用では複数種のデータ通信方法を利用できます。
- ケーブル長は最大20mのため自由度の高い配線が可能です。
- IO-Linkモードでは、マスタとデバイスでの双方向通信により、状況やトラブル発生をさまざまなタイミングで把握することができ、状態監視や予知(予兆)保全、トラブル時の迅速な対応に役立ちます。
- IO-Linkモードの通信速度はCOM1~3の規格があり、一般的にデバイスに応じてこれらが自動的に切り換わるため、設定不要で安定した通信に必要な伝送速度が得られます(COM1=4.8kbps、COM2=38.4kbps、COM3=230.4kbps)。
キーエンスのIO-Linkの特長と独自のメリット

国内外さまざまな製造業の現場の声を活かし、機能性や信頼性はもちろん、利便性や取り扱いの容易さを追求するキーエンスでは、IO-Linkマスタであるネットワーク通信モジュール「NQシリーズ」やIO-Link対応の各種センサを豊富にラインナップ。ハード面・ソフト面の両方で現場のニーズに応える機能を充実させました。
また、「NQシリーズ」の特長の1つとして、海外の工場で普及したIO-Linkが、日本国内の工場においても簡単に導入・運用できることが挙げられます。
立ち上げ時間を大幅短縮。簡単・省スペース接続
センサの配線はM12コネクタを挿すだけで完結し、工具が不要です。これにより従来、中継ボックス内の配線作業にかかっていた工数を約1/60に削減することができます。省配線化と同時に、スリムで高い耐久性を持つマスタ筐体は、カバーなどを設計・製作して保護する必要がないため、制御盤の省スペース化と同時に配線に係るさまざまな作業時間の短縮を実現します。
電線の末端処理
Y端子加工
マークチューブ取り付け
ドライバ作業
日本語表示で素早く・ミスなく設定
通常、接続したデバイスのIODDファイルから取得できるメーカー・デバイス名・各種パラメータは、英語表示のため、各パラメータが何の設定に該当するのかをセンサの取扱説明書で照合・確認する必要がありました。
「NQシリーズ」であれば、キーエンスのIO-Link対応センサを接続するだけで、自動認識すると同時にIODDファイルから取得したメーカー・デバイス名、そして各種パラメータをすべて日本語にローカライズして表示することができます。英語のパラメータ名の照合・確認の手間を省けると同時に、パラメータの誤解による設定ミスを防ぎます。
データストレージ機能で、トラブル時も瞬間に復旧可能
センサ個別の設定や各種パラメータは、IO-Linkマスタ「NQシリーズ」本体の「データストレージ機能」でバックアップします。たとえば、接続していたセンサが故障した場合でも、新しいセンサと交換するだけで、元の状態を復旧することができます。もちろん、チョコ停などのトラブルやセンサの故障などは、マスタやPLCで瞬時に特定でき、代替のセンサを再設定する手間と時間がかからないため、ダウンタイムを大幅に短縮することができます。
ソフトウエア NQ Sensor Monitor(無料)で、設定・データ収集・遠隔監視
「NQシリーズ」では、PC用ソフトウェア”NQ Sensor Monitor(NQセンサモニター)”を無料でダウンロードして利用することができます。PCにインストールして接続するだけで、複数のセンサの一括設定、センサから得たデータの収集やCSVファイル出力、Excelへの自動転送、遠隔監視などが簡単に実行できます。
また、接続したセンサで収集した数値データを管理して兆候監視することで、異常の兆候を早期に捉えてトラブルが発生する前に対応する、予知保全(予兆保全)が実現します。
さらに「NQシリーズ」なら、PLCを介すことなくIO-Linkマスタに直接PCを低レイテンシーで接続することができるため、現場でリアルタイムにモニタリングしたり、その場でデバイスの設定を変更したりといった運用も可能です。
事務所から確認
現場で確認











