用語集
流量計や流量センサ、流量管理にまつわる用語解説
流量計・流量センサを活用した流量管理では、さまざまな専門用語が登場します。こちらでは、「精度と不確かさ」や「粘度と動粘度」など少しわかりにくい流量関連用語についてご説明します。流量計・流量センサを選定するために製品仕様書を見るとき、流量管理を実施するときなどにご活用ください。
精度と不確かさ
流量計・流量センサの信頼性を示す指標として、「精度(accuracy)」と「不確かさ(uncertainty)」という2つの用語があります。国際標準では「不確かさ」を使うことが推奨されていますが、製品仕様書などでは現在も「精度」という言葉が使われています。信頼性を示す「精度」と「不確かさ」は、流量に限ったことではなく、測定や校正などで幅広く使われている用語ですが、今回は流量計・流量センサに限定してご説明します。
精度
流量計・流量センサの精度は、フルスケールに対して何%の誤差があるのかを示す「フルスケール(F.S.)精度」と、指示(表示)値に対して何%の誤差があるのかを示す「リードスケール(RDまたはRdg)精度」の2つがあります。
フルスケール(F.S.)精度・リードスケール(RDまたはRdg)精度ともに共通することは、測定値と真の値とのズレ量を誤差としていることです。測定値から真の値を引き算し、そのズレ量を誤差範囲としてフルスケール(F.S.)精度であれば「±1%F.S.」「±2%F.S」のように表記しています。
上記のように精度は、真の値から求められますが、真の値は日本産業規格のJIS Z8103で「ある特定の量と定義を合致する値。備考:特別な場合を除く、観点的な値で実際には求められない」と定義されています。鉛筆の長さを例にすると、実測値はわかっても生産でばらつきが発生しますし、測定者によっても数値が変わるので真の値はわかりませんよね? 精度は、あくまで真の値を仮定して、メーカー校正によって決められた誤差範囲というわけです。
実際の使用環境では、測定流体や設置条件も変わるため、メーカーの推奨条件からはずれる場合の影響も考慮する必要があります。そのためコリオリ式流量計などでは付加誤差として「ゼロスタビリティ」を設定する場合もあります。
不確かさ
近年、測定や校正の現場で使われるようになっている指標が「不確かさ」です。不確かさは、簡単に説明すると統計処理から誤差を推測した指標です。
ISO5167-1,2,3,4-2003で流量測定における不確かさの考え方と導入方法を規定していますが、少し難しいのでわかりやすく解説します。例えば、測定環境や測定方法、流体の条件などを変えながら測定し、そのデータから真の値がどの範囲にあるかを算出します。例えば、±1%の範囲に95%以上あることがわかれば、真の値は不明ですが不確かさは「±1%」で信頼性が95%あることがわかります。
ちなみにオリフィス式流量計の場合は、JIS Z8762-1やISO5168で不確かさの算出方法が掲載されています。絞り系比β、管路径D、レイノルズ数ReD、管内の相対粗さRa/Dが誤差なしとわかっていれば、流出係数の相対不確かさは、以下のようになります。

オリフィスの規格は、直管径Dが50 mm以上に適用され、50 mm未満については上記の不確かさが適用されない点にご注意ください。
レンジアビリティ
ある精度を保証する最大流量と最小流量の比をレンジアビリティと言います。例えば、10〜100 m3/hにフルスケール設定できる流量計で、20〜100%の間で±1%の指示精度を表示する場合は、誤差±1%で測定できる最大流量と最小流量は100 m3/hと2 m3/hなのでレンジアビリティは50:1になります。
粘度と動粘度
流量管理で扱う流体は、粘性流体なので「粘度」も重要な項目です。粘度とは、「さらさら」や「ねばねば」のように粘り気を示す物性値で、物質ごとに決まっており温度によって変化します。詳しくは流体の粘度と目安をご確認ください。
粘度
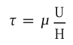
粘度は「粘性係数」とも呼ばれ、平行な2枚の平板の間を流体で満たし、一方だけを動かす際に必要な力として定義されています。下のイラストを見ていただけるとわかりやすいですが、固定した平板に近い流体の速度は0となり、移動する平板の近くの流速は平板と同じになります。このような流速分布を「クエットの流れ」と呼びます。
クエットの流れにおいて、平板に加える力をF、平板の面積をAとすると剪断応力τはF/Aで表すことができ、平板を動かす速度をU、2枚の平板の間隔をHとすると、以下のような公式が成り立ちます。粘度(粘性係数)μの単位は、Pa・s(パスカル秒)です。

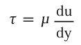
ただし、一般的な物体表面付近の流れの速度分布はクエットの流れのように直線的とは限らず、下のイラストのように微小流域では流速の差によって剪断応力が働きます。この剪断応力は、速度勾配du/dyに比例し、以下の公式で求めることができます。


動粘度
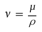
粘度は、流体中にある物体(平板)の動きにくさを表していますが、動粘度は流体自体の動きにくさを表します。流体の動きにくさ(動粘度)は、同じ粘度であっても密度が変わると変化します。動粘度νは、粘度を密度で割ることで算出でき、単位は[m2/s]で表します。

レイノルズ数
レイノルズ数とは、流体の慣性力と粘性力の比を示す無次元量で、レイノルズ数が同じであれば力学的に相似な流れとして扱うことができます。レイノルズ数Rは、一様な流れの速度U、物体の代表長さl、動粘度vすると上記のように表されます。流量計が設置される管路の場合、代表長さを管の内径Dにするケースが多く、粘性力の強い流れではレイノルズ数が小さくなり、慣性力の強い流れではレイノルズ数が大きくなります。

層流と乱流
水の流れの中に葉っぱを置いたとします。この際、葉っぱが配管に対して平行に進むときの流れを「層流」、葉っぱがランダムに進むときの流れを「乱流」と言います。
通常、液体は粘度の影響を受けるため、配管に近い場所では流速が遅くなります。このため、層流の場合、配管中央ほど流速が早くなります。一方、乱流の場合、直管長が十分取れていると、流速分布が均一となります。一般的には、レイノルズ数が2300を境界に層流から乱流に移行します。ただし、レイノルズ数2000~7000の領域を遷移領域と呼ぶこともあります。流量計は、レイノルズ数が104~109と大きく、乱流状態かつ流速分布が均一の状態を用いて、流速を測定しています。ただし、層流流量計、熱式流量計の一部、微小口径での超音波流量計では、層流状態となるケースもあります。

流速分布
流速分布とは、その名称のとおり管内における流速の分布を示す言葉です。十分な直管長が確保された管内であれば、通常は管軸に対して軸対象な流速分布になります。しかし、プロセスの配管は、曲がりやバルブ、ポンプなどの要素が多く、流速分布に影響が生じます。
流量管理では、このような軸対象ではない流れ「偏流」の場合に影響を受けます。管径が大きくなると直管部の長さも必要になり、十分な直管部を確保できずに偏流が発生する可能性も高まるので、流量分布の影響を考慮した流量計の選定と設置が重要です。
プロセス接続
通常の流量計・流量センサは、配管に割り込ませては位置しますが、この接続方法をプロセス接続と呼びます。一般的にはフランジを使用することが多く、流量計にもフランジを取り付ける、または最初からフランジ形状になっているものが一般的です。そこで流量計を選ぶ際には、フランジのサイズや規格、圧力ランクなど、上下配管と同一のものを選ぶ必要があります。フランジタイプのほか、フランジレスの「ウェーハタイプ」、既存配管を切断せずに被せて取り付ける「クランプオンタイプ」などもあります。








